超大规模集成电路(ULSI)产业直接关系到国家的经济发展、信息安全和国防建设,是衡量一个国家综合实力的重要标志之一。在半导体芯片制备过程中,约有三分之一的工序要使用等离子体技术,因此配备等离子体工艺腔室的材料刻蚀和薄膜沉积设备是ULSI制造工艺的核心。目前,半导体工艺中最常用的两种等离子体源是CCP(容性耦合等离子体)和ICP(感应耦合等离子体)。

等离子体工艺腔室制造过程极为复杂,不仅涉及到精密的机械加工技术,还要统筹考虑电源、气体、材料等外部参数的优化,以及与晶圆处理工艺的兼容性。如果采用传统的“实验试错法”,不仅成本巨大,而且延长了设备的研发周期,将严重制约我国ULSI产业的快速发展。因此,采用建模仿真与实验诊断相结合的方式,为等离子体工艺腔室的研发与优化提供方案,成为一种必然趋势。
等离子体放电过程是极其复杂的,受到多种外界参数的控制,如电源功率与频率、气体成分与压强、腔室尺寸及材料属性等。此外,等离子体系统还包含了多空间尺度和多时间尺度的变化,以及多物理化学场的耦合过程。例如等离子体、鞘层、表面微槽等空间特征尺度相差10个量级;电磁场、带电粒子、中性气体及化学反应等时间特征尺度相差9个量级。如此复杂的等离子体工艺环境,给物理建模和数值仿真都带来了巨大的挑战。

为此,乐鱼app官网PSEG团队在王友年教授的带领下,自2005年开始,历经近二十年时间,在国内率先研发出具有自主知识产权的等离子体工艺腔室仿真软件——MAPS(Multi-Physics Analysis of Plasma Sources)。通过采用物理建模、数值仿真与实验诊断相结合的方法,解决了制约等离子体工艺腔室设计和制造中的一些关键技术难题,为我国研发具有自主知识产权的等离子体工艺腔室提供了技术支撑。

MAPS是一款专门面向等离子体工艺腔室的数值模拟软件平台,可以同时为等离子体工艺腔室的参数设计和表面处理工艺(材料刻蚀和薄膜沉积)的结果预测提供模拟服务。基于不同的等离子体模型,MAPS包含不同的数值模拟方法,如粒子/蒙特卡洛碰撞模拟方法、流体力学模拟方法、流体力学/蒙特卡洛碰撞混合模拟方法、整体模型模拟方法等。软件平台包含输入部分、输出部分以及七大模块,分别是等离子体模块、中性气体模块、电磁模块、鞘层模块、化学反应模块、表面模块、以及实验验证模块。


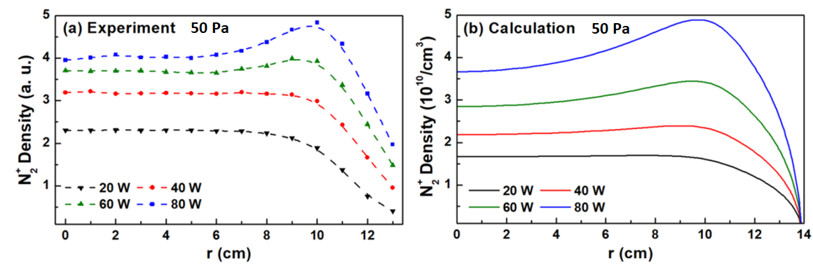
此外,PSEG团队研制了结构可变的大面积、多功能等离子体实验平台和多套CCP和ICP放电平台,并自主研发了射频磁探针、微波发卡探针、光探针、吸收光谱诊断系统、布拉格光栅测温系统、悬浮双探针等诊断工具和集成了商用的Langmuir探针、质谱仪、离子能量分析仪、光谱仪、ICCD及光致解离负离子诊断系统等。这些诊断手段为等离子体源多参数诊断提供条件。大量研究表明,MAPS的模拟结果与实验测量结果在量级和变化趋势上达到一致,证明了MAPS仿真软件的可靠性。


近期,针对工业中常用的CCP源,MAPS仿真软件提供了一种新的快速仿真算法:基于多时间步长、泊松方程的半隐式修正、超松弛迭代等,可以将模拟速度提高几十倍。此外,针对ICP源,PSEG团队也建立了一种新的双极扩散近似模型,可以对带有射频偏压的感性耦合放电过程进行仿真。该方法不仅模拟速度快,还适用于低气压放电。

MAPS仿真软件具有外界控制参数多、耦合物理场多、数值求解器多、数值仿真模型多等优势,能够对ICP刻蚀机、CCP刻蚀机、PECVD(等离子体增强化学气相沉积)和PVD(物理气相沉积)工艺腔室进行仿真,支持对优化工艺过程参数的进一步探索,受到了国内的多家半导体设备制造企业的青睐。近十年中,MAPS仿真软件已分别为北方华创、中微半导体设备(上海)、拓荆科技、苏州迈为、武汉长江存储及理想能源设备(上海)等多家企业提供仿真服务。未来,PSEG团队将继续专注于对MAPS仿真软件的完善和升级,希望可以为半导体、光伏及平板显示等产业的创新与发展注入源源不断的强劲动力,助力我国早日打破国外对芯片制造技术的封锁。